CBR Jan-Feb 2014 - page 17

Wealth Management
/ Investments & Research
commonwealth.com
For Advisor Use Only
17
Why Now?
As mentioned during our session at National, the industry
has seen a growing trend away from the “hands-off” style
of investing that prevailed among clients before the
financial crisis of 2008. As account values plunged and
numerous Ponzi schemes were exposed in the heart of
the crisis, clients began to scrutinize their advisors and
investment choices more closely, adopting a more hands-on
approach. Increasingly, clients are focusing not only on
how they’re invested but also where they’re invested, all
the way down to individual securities within a mutual fund.
It’s not news to anyone that Joe Main Street is more
concerned with his investment choices these days than he
was in 2003, and, with that added level of scrutiny, there
appears to be a growing awareness of ESG investing.
Advisor Jeff Scales—who, along with Eileen Burkhart, offered
a Q&A session during our National presentation—reported
that client interest has grown significantly in his practice
since the crisis. Citing keynote speaker Guy Kawasaki’s
message about being relevant, unique, and valuable, Scales
noted that socially responsible investments rank high in
all three areas.
What About Performance?
You may be thinking, “That’s great, but performance
suffers, right?” Not quite. Figure 3 shows the performance
of the MSCI USA Index alongside the MSCI KLD
400 Social Index. (For those unfamiliar with the latter,
it’s simply the MSCI USA Index with an ESG overlay.)
When discussing performance, it’s appropriate to use
indices rather than actual mutual funds, in order to illustrate
relative performance without an active management
component impacting returns. The chart shows pure
passive investing and passive investing with an ESG
overlay. You’ll notice that a $100 investment in the ESG
index would have accumulated more assets since inception
than $100 invested in the traditional MSCI USA Index.
Millions ($)
11/10
12/10
1/11
2/11
3/11
4/11
5/11
6/11
7/1
8/11
9/11
10/11
11/11
12/11
1/12
2/12
3/12
4/12
5/12
6/12
7/12
8/12
9/12
10/12
11/12
12/12
1/13
2/13
3/13
4/13
5/13
6/13
7/13
8/13
9/13
10/13
11/13
30
25
20
15
10
5
0
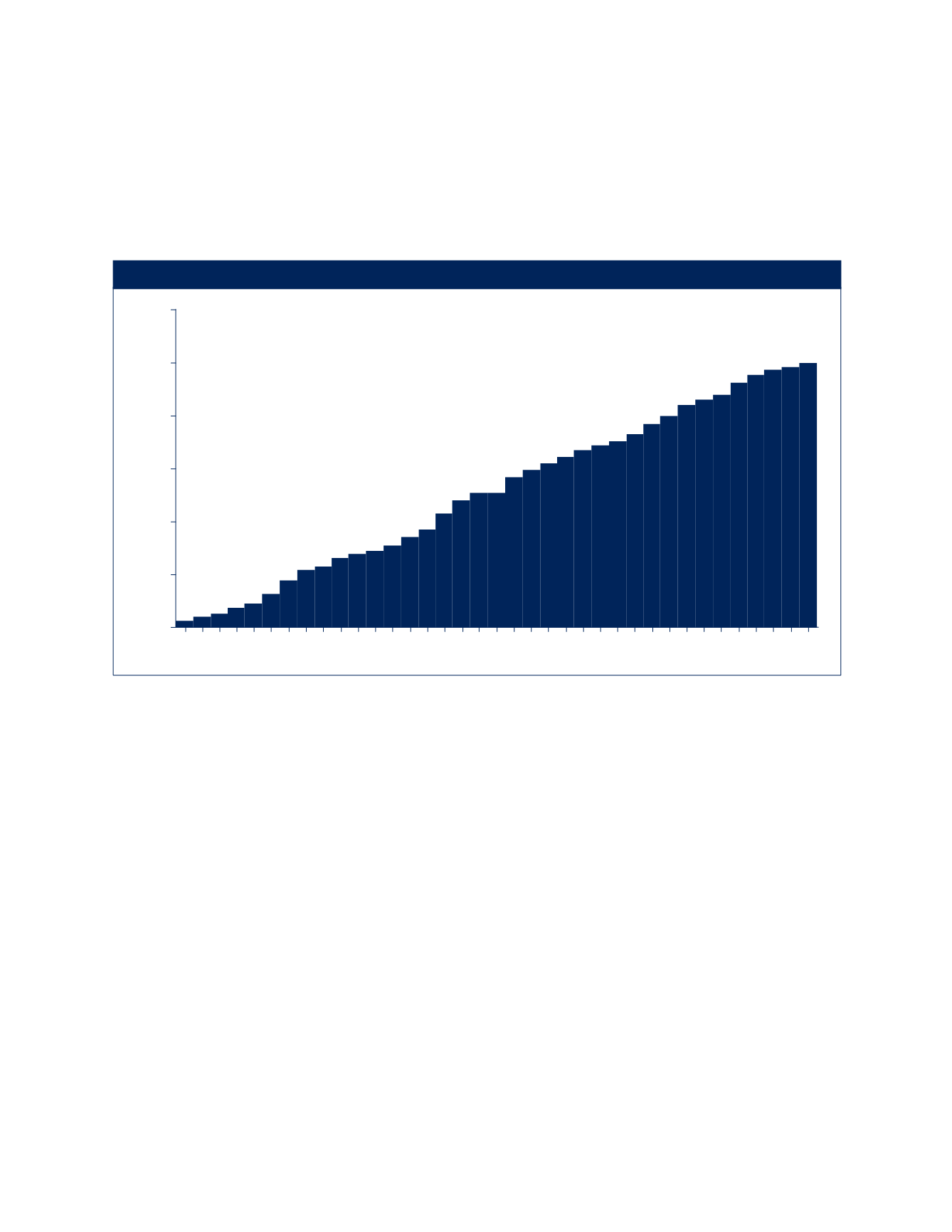
PPS Select SRI portfolios: Assets under management
Source: Commonwealth
Figure 2. PPS Select SRI Growth
1...,7,8,9,10,11,12,13,14,15,16 18,19,20,21,22,23,24,25,26,27,...52
Powered by FlippingBook